介電常數測試儀參數詳細說明
高頻介電常數測試儀(頻率范圍10KHZ-70MHZ)
工頻介電常數介質損耗測試儀(頻率范圍50HZ-60HZ)
中華人民共和國標準
GB/T1409—2006
代替GB/T1409—1988
測量電氣絕緣材料在工頻、音頻、高頻
(包括米波波長在內)
下電容率和介質損耗因數的推薦方法
中華人民共和國質量監督檢驗檢疫總局
中國標準化管理委員會
GB/T1409測量電氣絕緣材料在工頻、音頻、高頻
(包括米波波長在內)
下電容率和介質損耗因數的推薦方法
1、范圍
本標準規定了在15Hz?300MHz的頻率范圍內測量電容率、介質損耗因數的方法,并由此計算某些數值,如損耗指數。本標準中所敘述的某些方法,也能用于其他頻率下測量。
本標準適用于測量液體、易熔材料以及固體材料。測試結果與某些物理條件有關,例如頻率、溫度、濕度,在特殊情況下也與電場強度有關。
有時在超過1000V的電壓下試驗,則會引起一些與電容率和介質損耗因數無關的效應,對此不予論述。
2、規范性引用文件
下列文件中的條款通過本標準的引用而成為本標準的條款。凡是注日期的引用文件,其隨后所有的修改單(不包括勘誤的內容)或修訂版均不適用于本標準,然而,鼓勵根據本標準達成協議的各方研究是否可使用這些文件的zui新版本。凡是不注日期的引用文件,其zui新版本適用于本標準。
IEC60247:1978 液體絕緣材料相對電容率、介質損耗因數和直流電阻率的測量
3、術語和定義
下列術語和定義適用于本標準。
3.1
相對電容率relative permittivity
ε r
電容器的電極之間及電極周圍的空間全部充以絕緣材料時,其電容Cx與同樣電極構形的真空電容Co之比;
式中;
εr——相對電容率;
Cx——充有絕緣材料時電容器的電極電容;
Co——真空中電容器的電極電容。
在標準大氣壓下,不含二氧化碳的干燥空氣的相對電容率ε r等于1.00053,因此,用這種電極構形在空氣中的電容Cx來代替Co測量相對電容率εr時,也有足夠的度。
在一個測量系統中,絕緣材料的電容率是在該系統中絕緣材料的相對電容率εr與真空電氣常數εr的乘積。
在SI制中,電容率用法/米(F/m)表示。而且,在SI單位中,電氣常數εr,為:

在本標準中,用皮法和厘米來計算電容,真空電氣常數為:ε0=0.088 54 pF/cm
3.2
介質損耗角dielectric loss angle
δ
由絕緣材料作為介質的電容器上所施加的電壓與由此而產生的電流之間的相位差的余角。
3.3
介質損耗因數 dielectric dissipation factor
tanδ
損耗角 δ的正切。
3.4
[介質]損耗指數 [dielectric] loss index
ε''r
該材料的損耗因數tanδ與相對電容率εr的乘積。
3.5
復相對電容率 complex relative permittivity
εr
由相對電容率和損耗指數結合而得到的:

式中:
εr——復相對電容率;
ε''r——損耗指數;
ε'r、εr——相對電容率;
tanδ——介質損耗因數。
注:有損耗的電容器在任何給定的頻率下能用電容Cs和電阻Rs的串聯電路表示,或用電容CP和電阻RP(或電導CP)并聯電路表示。
并聯等值電路 串聯等值電路

式中:
Cs——串聯電容;
Rs——串聯電阻;
1)有些用“損耗角正切”來表示“介質損耗因數”,因為損耗的測量結果是用損耗角的正切來報告的。
CP——并聯電容;
RP——并聯電阻。
雖然以并聯電路表示一個具有介質損耗的絕緣材料通常是合適的,但在單一頻率下,有時也需要以電容Cs和電阻Rs的串聯電路來表示。
串聯元件與并聯元件之間,成立下列關系:

式(9)、(10)、(11)中:Cs、Rs、CP、RP、tanδ同式(7)、(8)。
無論串聯表示法還是并聯表示法,其介質損耗因數tanδ是相等的。
假如測量電路依據串聯元件來產生結果,且tanδ太大而在式(9)中不能被忽略,則在計算電容率前必須先計算并聯電容。
本標準中的計算和測量是根據電流(ω=πf)正弦波形作出的。
4、電氣絕緣材料的性能和用途
4.1電介質的用途
電介質一般被用在兩個不同的方面:
用作電氣回路元件的支撐,并且使元件對地絕緣及元件之間相互絕緣;
用作電容器介質。
4.2影響介電性能的因素
下面分別討論頻率、溫度、濕度和電氣強度對介電性能的影響。
4.2.1頻率
因為只有少數材料如石英玻璃、聚苯乙烯或聚乙烯在很寬的頻率范圍內它們的εr和tanδ幾乎是恒定的,且被用作工程電介質材料,然而一般的電介質材料必須在所使用的頻率下測量其介質損耗因數和電容率。
電容率和介質損耗因數的變化是由于介質極化和電導而產生,重要的變化是極性分子引起的偶極子極化和材料的不均勻性導致的界面極化所引起的。
4.2.2溫度
損耗指數在一個頻率下可以出現一個值,這個頻率值與電介質材料的溫度有關。介質損耗因數和電容率的溫度系數可以是正的或負的,這取決于在測量溫度下的介質損耗指數值位置。
4.2.3濕度
極化的程度隨水分的吸收量或電介質材料表面水膜的形成而增加,其結果使電容率、介質損耗因數和直流電導率增大。因此試驗前和試驗時對環境濕度進行控制是必不可少的。
注:濕度的顯著影響常常發生在1MHz以下及微波頻率范圍內。
4.2.4電場強度
存在界面極化時,自由離子的數目隨電場強度增大而增加,其損耗指數值的大小和位置也隨此而變。
在較高的頻率下,只要電介質中不出現局部放電,電容率和介質損耗因數與電場強度無關。
5、試樣和電極
5.1固體絕緣材料
5.1.1試樣的幾何形狀
測定材料的電容率和介質損耗因數,zui好采用板狀試樣,也可采用管狀試樣。
在測定電容率需要較高精度時,的誤差來自試樣尺寸的誤差,尤其是試樣厚度的誤差,因此厚度應足夠大,以滿足測量所需要的度。厚度的選取決定于試樣的制備方法和各點間厚度的變化。對1%的度來講,1.5mm的厚度就足夠了,但是對于更高度,zui好是采用較厚的試樣,例如6mm?12mm。測量厚度必須使測量點有規則地分布在整個試樣表面上,且厚度均勻度在±1%內。如果材料的密度是已知的,則可用稱量法測定厚度。選取試樣的面積時應能提供滿足精度要求的試樣電容。測量10pF的電容時,使用有良好屏蔽保護的儀器。由于現有儀器的極限分辨能力約1pF,因此試樣應薄些,直徑為10cm或更大些。
需要測低損耗因數值時,很重要的一點是導線串聯電阻引人的損耗要盡可能地小,即被測電容和該電阻的乘積要盡可能小。同樣,被測電容對總電容的比值要盡可能地大。點表示導線電阻要盡可能低及試樣電容要小,第二點表示接有試樣橋臂的總電容要盡可能小,且試樣電容要大。因此試樣電容zui好取值為20pF,在測量回路中,與試樣并聯的電容不應大于約5pF,
5.1.2電極系統
5.1.2.1加到試樣上的電極
電極可選用5.1.3中任意一種。如果不用保護環,而且試樣上下的兩個電極難以對齊時,其中一個電極應比另一個電極大些。已經加有電極的試樣應放置在兩個金屬電極之間,這兩個金屬電極要比試樣上的電極稍小些。對于平板形和圓柱形這兩種不同電極結構的電容計算公式以及邊緣電容近似計算的經驗公式由表1給出。
對于介質損耗因數的測量,這種類型的電極在高頻下不能滿足要求,除非試樣的表面和金屬板都非常平整。圖1所示的電極系統也要求試樣厚度均勻。.
5.1.2.2試樣上不加電極
表面電導率很低的試樣可以不加電極而將試樣插入電極系統中測量,在這個電極系統中,試樣的一側或兩側有一個充滿空氣或液體的間隙。
平板電極或圓柱形電極結構的電容計算公式由表3給出。
下面兩種型式的電極裝置特別合適.
5.1.2.2.1空氣填充測微計電極
當試樣插入和不插人時,電容都能調節到同一個值,不需進行測量系統的電氣校正就能測定電容率。電極系統中可包括保護電極。
5.1.2.2.2流體排出法
在電容率近似等于試樣的電容率,而介質損耗因數可以忽略的一種液體內進行測量,這種測量與試樣厚度測量的精度關系不大。當相繼采用兩種流體時,試樣厚度和電極系統的尺寸可以從計算公式中消去。
試樣為與試驗池電極直徑相同的圓片,或對測微計電極來說,試樣可以比電極小到足以使邊緣效應忽略不計。在測微計電極中,為了忽略邊緣效應,試樣直徑約比測微計電極直徑小兩倍的試樣厚度。
5.1.2.3邊緣效應
為了避免邊緣效應引起電容率的測量誤差,電極系統可加上保護電極。保護電極的寬度應至少為兩倍的試樣厚度,保護電極和主電極之間的間隙應比試樣厚度小。假如不能用保護環,通常需對邊緣電容進行修正,表1給出了近似計算公式。這些公式是經驗公式,只適用于規定的幾種特定的試樣形狀。
此外,在一個合適的頻率和溫度下,邊緣電容可采用有保護環和無保護環的(比較)測量來獲得,用所得到的邊緣電容修正其他頻率和溫度下的電容也可滿足精度要求。
5.1.3構成電極的材料
5.1.3.1金屬箔電極
用極少量的硅脂或其他合適的低損耗粘合劑將金屬箔貼在試樣上。金屬箔可以是純錫或鉛,也可以是這些金屬的合金,其厚度為100μm,也可使用厚度小于10μm的鋁箔。但是,鋁箔在較高溫度下易形成一層電絕緣的氧化膜,這層氧化膜會影響測量結果,此時可使用金箔。
5.1.3.2燒熔金屬電極
燒熔金屬電極適用于玻璃、云母和陶瓷等材料,銀是普遍使用的,但是在高溫或高濕下,zui好采用金。
5.1.3.3噴鍍金屬電極
鋅或銅電極可以噴鍍在試樣上,它們能直接在粗糙的表面上成膜。這種電極還能噴在布上,因為它們不穿透非常小的孔眼。
5.1.3.4陰極蒸發或高真空蒸發金屬電極
假如處理結果既不改變也不破壞絕緣材料的性能,而且材料承受高真空時也不過度逸出氣體,則本方法是可以采用的。這一類電極的邊緣應界限分明。
5.1.3.5汞電極和其他液體金屬電極
把試樣夾在兩塊互相配合好的凹模之間,凹模中充有液體金屬,該液體金屬必須是純凈的。汞電極不能用于高溫,即使在室溫下用時,也應采取措施,這是因為它的蒸氣是有毒的。
伍德合金和其他低熔點合金能代替汞。但是這些合金通常含有鎘,鎘象汞一樣,也是毒性元素。這些合金只有在良好抽風的房間或在抽風柜中才能用于100℃以上,且操作人員應知道可能產生的健康危害。
5.1.3.6導電漆
無論是氣干或低溫烘干的高電導率的銀漆都可用作電極材料。因為此種電極是多孔的,可透過濕氣,能使試樣的條件處理在涂上電極后進行,對研究濕度的影響時特別有用。此種電極的缺點是試樣涂上銀漆后不能馬上進行試驗,通常要求12h以上的氣干或低溫烘干時間,以便去除所有的微量溶劑,否則,溶劑可使電容率和介質損耗因數增加。同時應注意漆中的溶劑對試樣應沒有持久的影響。
要使用刷漆法做到邊緣界限分明的電極較困難,但使用壓板或壓敏材料遮框噴漆可克服此局限。但在極高的頻率下,因銀漆電極的電導率會非常低,此時則不能使用。
5.1.3.7石墨
一般不推薦使用石墨,但是有時候也可采用,特別是在較低的頻率下。石墨的電阻會引起損耗的顯著增大,若采用石墨懸浮液制成電極,則石墨還會穿透試樣。
5.1.4電極的選擇
5.1.4.1板狀試樣
考慮下面兩點很重要:
a)不加電極,測量時快而方便,并可避免由于試樣和電極間的不良接觸而引起的誤差。
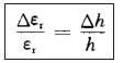
b)若試樣上是加電極的,由測量試樣厚度h時的相對誤差△h/h所引起的相對電容率的相對誤差△εr/εr可由下式得到:

式中:
△εr——相對電容率的偏差;
εr——相對電容率;
h——試樣厚度;
Ah——試樣厚度的偏差。
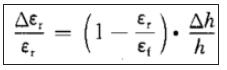
若試樣上加電極,且試樣放在有固定距離S>h的兩個電極之間,這時

式中:
△εr、εr、h同式(12)。
εr——試樣浸入所用流體的相對電容率,對于在空氣中的測量則εr等于1。
對于相對電容率為10以上的無孔材料,可采用沉積金屬電極。對于這些材料,電極應覆蓋在試樣的整個表面上,并且不用保護電極。對于相對電容率在3?10之間的材料,能給出zui高精度的電極是金屬箔、汞或沉積金屬,選擇這些電極時要注意適合材料的性能。若厚度的測量能達到足夠精度時,試樣上不加電極的方法方便而更可取。假如有一種合適的流體,它的相對電容率已知或者能很準確地測出,則采用流體排出法是zui好的。
5.1.4.2管狀試樣
對管狀試樣而言,合適的電極系統將取決于它的電容率、管壁厚度、直徑和所要求的測量精度。一般情況下,電極系統應為一個內電極和一個稍為窄一些的外電極和外電極兩端的保護電極組成,外電極和保護電極之間的間隙應比管壁厚度小。對小直徑和中等直徑的管狀試樣,外表面可加三條箔帶或沉積金屬帶,中間一條用作為外電極(測量電極),兩端各有一條用作保護電極。內電極可用汞,沉積金屬膜或配合較好的金屬芯軸。
高電容率的管狀試樣,其內電極和外電極可以伸展到管狀試樣的全部長度上,可以不用保護電極。
大直徑的管狀或圓筒形試樣,其電極系統可以是圓形或矩形的搭接,并且只對管的部分圓周進行試驗。這種試樣可按板狀試樣對待,金屬箔、沉積金屬膜或配合較好的金屬芯軸內電極與金屬箔或沉積金屬膜的外電極和保護電極一起使用。如采用金屬箔做內電極,為了保證電極和試樣之間的良好接觸,需在管內采用一個彈性的可膨脹的夾具。
對于非常準確的測量,在厚度的測量能達到足夠的精度時,可采用試樣上不加電極的系統。對于相對電容率εr不超過10的管狀試樣,方便的電極是用金屬箔、汞或沉積金屬膜。相對電容率在10以上的管狀試樣,應采用沉積金屬膜電極;瓷管上可采用燒熔金屬電極。電極可像帶材一樣包覆在管狀試樣的全部圓周或部分圓周上。
5.2液體絕緣材料
5.2.1試驗池的設計
對于低介質損耗因數的待測液體,電極系統重要的特點是:容易清洗、再裝配(必要時)和灌注液體時不移動電極的相對位置。此外還應注意:液體需要量少,電極材料不影響液體,液體也不影響電極材料,溫度易于控制,端點和接線能適當地屏蔽;支撐電極的絕緣支架應不浸沉在液體中,還有,試驗池不應含有太短的爬電距離和尖銳的邊緣,否則能影響測量精度。
滿足上述要求的試驗池見圖2?圖4。電極是不銹鋼的,用硼硅酸鹽玻璃或石英玻璃作絕緣,圖2和圖3所示的試驗池也可用作電阻率的測定,1EC 60247:1978對此已詳細敘述。
由于有些液體如氯化物,其介質損耗因數與電極材料有明顯的關系,不銹鋼電極不總是合適的。有時,用鋁和杜拉鋁制成的電極能得到比較穩定的結果。
5.2.2試驗池的準備
應用一種或幾種合適的溶劑來清洗試驗池,或用不含有不穩定化合物的溶劑多次清洗。可以通過化學試驗方法檢查其純度,或通過一個已知的低電容率和介質損耗因數的液體試樣測量的結果來確定。3試驗池試驗幾種類型的絕緣液體時,若單獨使用溶劑不能去除污物,可用一種柔和的擦凈劑和水來清潔試驗池的表面。若使用一系列溶劑清洗時則要用沸點低于100°C的分析級的石油醚來再次清洗,或者用任一種對一個已知低電容率和介質損耗因數的液體測量能給出正確值的溶劑來清洗,并且這種溶劑在化學性質上與被試液體應是相似的。推薦使用下述方法進行清洗。
試驗池應全部拆開,地清洗各部件,用瑢劑回流的方法或放在未使用溶劑中攪動反復洗滌方法均可去除各部件上的溶劑并放在清潔的烘箱中,在110℃左右的溫度下烘干30min。
待試驗池的各部件冷卻到室溫,再重新裝配起來。池內應注人一些待試的液體,停幾分鐘后,倒出此液體再重新倒人待試液體,此時絕緣支架不應被液體弄濕。
在上述各步驟中,各部件可用干凈的鉤針或鉗子巧妙地處理,以使試驗池有效的內表面不與手接觸。
注1:在同種質量油的常規試驗中,上面所說的淸洗步驟可以代之為在每一次試驗后用沒有殘留紙屑的干紙簡單地擦擦試驗池。
注2:采用溶劑時,有些溶劑特別是苯、四氧化碳、甲苯、二甲苯是有毒的,所以要注意防火及毒性對人體的影響,此外,氧化物溶劑受光作用會分解。
5.2.3試驗池的校正
當需要高精度測定液體電介質的相對電容率時,應首先用一種已知相對電容率的校正液體(如苯)來測定“電極常數'。
“電極常數”C。的確定按式(14):

式中:
Cc——電極常數;
Co——空氣中電極裝置的電容;
Cn——充有校正液體時電極裝置的電容;
εn——校正液體的相對電容率。
從C。和Cc的差值可求得校正電容Cg

并按照公式
來計算液體未知相對電容率εx。
式中:
Cg——校正電容;
Co——空氣中電極裝置的電容;
Cc——電極常數|
Cx——電極裝置充有被試液體時的電容;
εx——液體的相對電容率。
假如Co、Cn和Cx值是在εn是已知的某一相同溫度下測定的,則可求得zui高精度的εx值。
采用上述方法測定液體電介質的相對電容率時,可保證其測得結果有足夠的精度,因為它消除了由于寄生電容或電極間隙數值的不準確測量所引起的誤差。
6、測置方法的選擇
測量電容率和介質損耗因數的方法可分成兩種:零點指示法和諧振法。
6.1零點指示法適用于頻率不超過50MHz時的測量。測量電容率和介質損耗因數可用替代法;也就是在接入試樣和不接試樣兩種狀態下,調節回路的一個臂使電橋平衡。通常回路采用西林電橋、變壓器電橋(也就是互感耦合比例臂電橋)和并聯T型網絡。變壓器電橋的優點:采用保護電極不需任何外加附件或過多操作,就可采用保護電極;它沒有其他網絡的缺點。
6.2諧振法適用于10kHz?幾百MHz的頻率范圍內的測量。該方法為替代法測量,常用的是變電抗法。但該方法不適合采用保護電極。
注:典型的電橋和電路示例見附錄。附錄中所舉的例子自然是不全面的,敘述電橋和測量方法報導見有關文獻和該種儀器的原理說明書。
7、試驗步驟
7.1試樣的制備
試樣應從固體材料上截取,為了滿足要求,應按相關的標準方法的要求來制備。
應地測量厚度,使偏差在±(0.2%土0.005mm)以內,測量點應均勻地分布在試樣表面。必要時,應測其有效面積。
7.2條件處理
條件處理應按相關規范規定進行。
7.3測量
電氣測量按本標準或所使用的儀器(電橋)制造商推薦的標準及相應的方法進行。
在1MHz或更高頻率下,必須減小接線的電感對測量結果的影響。此時,可采用同軸接線系統(見圖1所示),當用變電抗法測量時,應提供一個固定微調電容器。
8、結果
8.1相對電容率εr
試樣加有保護電極時其相對電容率εr可按公式(1)計算,沒有保護電極時試樣的被測電容C'x包括了一個微小的邊緣電容Ce,其相對電容率為:

式中:
εr——相對電容率;
C'x——沒有保護電極時試樣的電容;
Ce——邊緣電容;
Co——法向極間電容;
Co和Ce能從表1計算得來。
必要時應對試樣的對地電容、開關觸頭之間的電容及等值串聯和并聯電容之間的差值進行校正。
測微計電極間或不接觸電極間被測試樣的相對電容率可按表2、表3中相應的公式計算得來。
8.2介質損耗因數tanδ
介質損耗因數tanδ按照所用的測量裝置給定的公式,根據測出的數值來計算。
8.3精度要求
在第5章和附錄A中所規定的精度是:電容率精度為±1%,介質損耗因數的精度為±(5%±0.0005)。這些精度至少取決于三個因素:即電容和介質損耗因數的實測精度;所用電極裝置引起的這些量的校正精度;極間法向真空電容的計算精度(見表1)。
在較低頻率下,電容的測量精度能達±(0.1%土0.02pF),介質損耗因數的測量精度能達±(2%±0.00005)。在較高頻率下,其誤差增大,電容的測量精度為±(0.5%±0,1PF),介質損耗因數的測量精度為±(2%±0.0002)。
對于帶有保護電極的試樣,其測量精度只考慮極間法向真空電容時有計算誤差。但由被保護電極和保護電極之間的間隙太寬而引起的誤差通常大到百分之零點幾,而校正只能計算到其本身值的百分乏幾。如果試樣厚度的測量能到±0.005mm,則對平均厚度為1.6mm的試樣,其厚度測量誤差能達到百分之零點幾。圓形試樣的直徑能測定到±0.1%的精度,但它是以平方的形式引人誤差的,綜合這些因素,極間法向真空電容的測量誤差為±0.5%。
對表面加有電極的試樣的電容,若采用測微計電極測量時,只要試樣直徑比測微計電極足夠小,則只需要進行極間法向電容的修正。采用其他的一些方法來測量兩電極試樣時,邊緣電容和對地電容的計算將帶來一些誤差,因為它們的誤差都可達到試樣電容的2%?40%。根據目前有關這些電容資料,計算邊緣電容的誤差為10%,計算對地電容的誤差為因此帶來總的誤差是百分之幾十到百分之幾。當電極不接地時,對地電容誤差可大大減小。
采用測微計電極時,數量級是0.03的介質損耗因數可測到真值的±0.0003,數量級0.0002的介質損耗因數可測到真值的±0.00005介質損耗因數的范圍通常是0.0001?0.1,但也可擴展到0.1以上。頻率在10MHz和20MHz之間時,有可能檢測出0.00002的介質損耗因數。1?5的相對電容率可測到其真值的±2%,該精度不僅受到計算極間法向真空電容測量精度的限制,也受到測微計電極系統誤差的限制。
9、試驗報告
試驗報告中應給出下列相關內容:
絕緣材料的型號名稱及種類、供貨形式、取樣方法、試樣的形狀及尺寸和取樣日期(并注明試樣厚度和試樣在與電極接觸的表面進行處理的情況);
試樣條件處理的方法和處理時間;
電極裝置類型,若有加在試樣上的電極應注明其類型;
測量儀器;
試驗時的溫度和相對濕度以及試樣的溫度;
施加的電壓;
施加的頻率;
相對電容率εr(平均值);
介質損耗因數tanδ(平均值);
試驗日期;
相對電容率和介質損耗因數值以及由它們計算得到的值如損耗指數和損耗角,必要時,應給出與溫度和頻率的關系。
表1 真空電容的計算和邊緣校正
(1)極間法向電容
(單位:皮法和厘米)
(2)邊緣電容的校正
(單位:皮法和厘米)
(3)
1.有保護環的圓盤狀電極

2.沒有保護環的圓盤狀電極
a)電極直徑=試樣直徑

b)上下電極相等,但比試樣小

其中:ε1 是試樣相對電容率的近似值,并且a≤h
表1(續)
(1)極間法向電容
(單位:皮法和厘米)
(2)邊緣電容的校正
(單位:皮法和厘米)
(3)
c)電極直徑=試樣直徑

其中:ε1 是試樣相對電容率的近似值,并且a≤h
3.有保護環的圓柱形電極

4.沒有保護環的圓柱形電極

其中:ε1 是試樣相對電容率的近似值
試樣的相對電容率:

其中:
C'x——電極之間被測的電容;
In——自然對數;
Ig——常用對數。
表2 試樣電容的計算——接觸式測微計電極
試樣電容注符號定義’
1.并聯一個標準電容器來替代試樣電容CP——試樣的并聯電容
△C——取去試樣后,為恢復平衡時的標準電容器的電容增量
Cr——在距離為r時,測微計電極的標定電容
Cs——取去試樣后,恢復平衡,測微計電極間距為s時的標定電容Cor,Coh——測微計電極之間試樣所占據的,間距分別為r或h的空氣電容。可用表1中的公式1來計算r——試樣與所加電極的厚度
h——試樣厚度
相對電容率:

CP=△C+Cor試樣直徑至少比測微計電極的直徑小2r。在計算電容率時必須采用試樣的真實厚度h和面積A。
2.取去試樣后減少測微計電極間的距離來替代試樣電容
CP=Cs-Cr+Cor試樣直徑至少比測微計電極的直徑小2r。在計算電容率時必須采用試樣的真實厚度h和面積A。
3.并聯一個標準電容器來替代試樣電容
當試樣與電極的直徑同樣大小時,僅存在一個微小的誤差(因電極邊緣電場畸變引起0.2%?0.5%的誤差),因而可以避免空氣電容的兩次計算。
CP=△C+Coh試樣直徑等于測微計電極直徑,施于試樣上的電極的厚度為零。
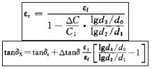
表3電容率和介質損耗因數的計算 ——不接觸電極
相對電容率
(1)介質損耗因數
(2)符號意義
(3)
1.測微計電極(在空氣中)

若ho 調到一個新值h'o,而△C=0時

tanδx= tanδc +M·εr·△tanδ
△C——試樣插人時電容的改變量(電容增加時為+號)
C1——裝有試樣時的電容
C1——僅有流體時的電容,其值為εr•Co
Co——所考慮的區域上的真空電容,其值為εo•A/h0
A——試樣一個面的面積,用 厘米2表示(試驗的面積大于等于電極面積時)
ε1——在試驗溫度下的流體相對電容率(對空氣而言εr =1. 00)
ε0——電氣常數用皮法/厘米表示
△tanδ——試樣插入時,損耗因數的增加量
tanδc——裝有試樣時的損耗因數
tanδx試樣的損耗因數的計算值
d0——內電極的外直徑 d1——試樣的內直徑 d2試樣的外直徑
d3——外電極的內直徑 h0——平行平板間距
h——試樣的平均厚度
M——h0 /h—1
lg――常用對數
注;在二流體法的公式中,腳注1和2分別表示種和第二種流體。
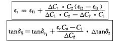
2. 平板電極——流體排出法

tanδx= tanδc +M·εr·△tanδ

當試樣的損耗因數小于1時,可以用下列公式:

3. 圓柱形電極——流體排出法(用于tanδ小于0.1時)

4. 二流體法——平板電極(用于tanδx小于0. 1時)


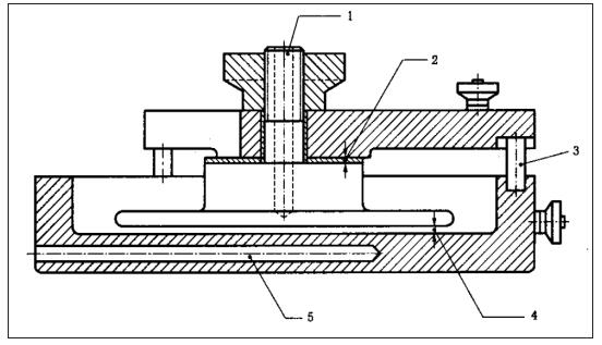
1——測微計頭;6——微調電容器;
2——連接可調電極(B)的金屬波紋管;7——接檢測器;
3——放試樣的空間(試樣電容器M1;8——接到電路上;
4——固定電極(A);9——可調電極(B)。
5——測微計頭;
圖1 用于固體介質測量的測微計——電容器裝置
單位為毫米

1——內電極;1——把柄;
2——外電極;5——棚硅酸鹽或石英墊圈;
3——保護環;6——硼硅酸鹽或石英墊圈。
圖2 液體測量的三電極試驗池示例

注滿試驗池所需的液體量大約15mL
1——溫度計插孔;
2——絕緣子;
3——過剩液體溢流的兩個出口。
圖3 測量液體的兩電極試驗池示例

1——溫度計插孔;
2——1mm厚的金屬板;
3——石英玻璃;
4——1mm或2mm的間隙;
5——溫度計插孔

